产品供求
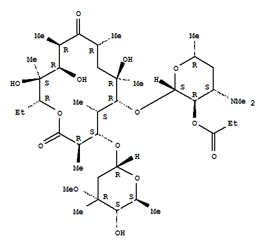
134-36-1(红霉素丙酸酯)
没有找到符合您的产品名,为您推荐“134-36-1”的上下游产品
134-36-1基本信息
- CAS:
- 134-36-1
- 中文名称:
- 红霉素丙酸酯
- 中文别名:
- 红霉素丙酸酯
- 英文名称:
- Erythromycin,2'-propanoate (9CI)
- 英文别名:
- erythromycin A 2'-propanoate;
ERYTHROMYCIN PROPIONATE;
erythromycin A 2'-propionate;
2'-propionoylerythromycin;
Propionyl erythromicin;
2'-Propionylerythromycin;
O''-Propionyl-erythromycin;
Propionylerythromycin
- EINECS号:
-
- 分子式:
- C40H71NO14
- 分子量:
- 789.99
134-36-1物化属性
- 密 度:
- 1.19g/cm3
- 闪 点:
- 454.4°C
- 熔 点:
- 122-126 C
- 沸 点:
- 827.7°Cat760mmHg
- EINECS:
- 205-140-8
- InChI:
- The Key: TYQXKHPOXXXCTP-CSLYCKPJSA-N
- 风险术语:
- 36/37/38
- 分子结构式:
-

- SDS:
- 查看
134-36-1相关产品推荐