产品供求
159002-33-2
没有找到符合您的产品名,为您推荐“159002-33-2”的上下游产品
159002-33-2基本信息
- CAS:
- 159002-33-2
- 英文名称:
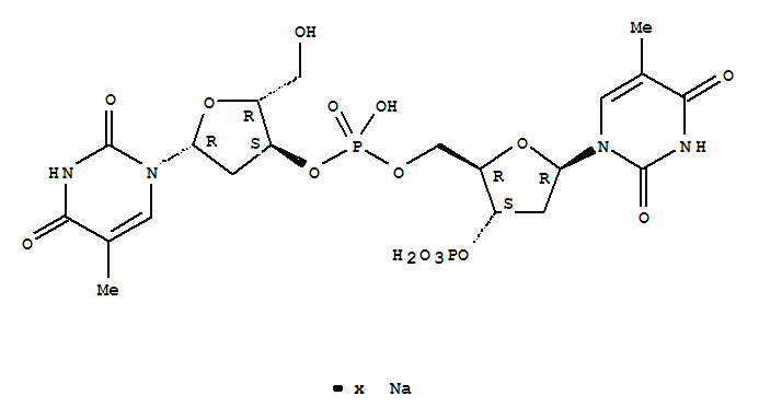
- 3'-Thymidylic acid,thymidylyl-(3'®5')-,sodium salt (9CI)
- 英文别名:
- sodium,[(2R,3S,5R)-3-[hydroxy-[[(2R,3S,5R)-3-hydroxy-5-(5-methyl-2,4-dioxopyrimidin-1-yl)oxolan-2-yl]methoxy]phosphoryl]oxy-5-(5-methyl-2,4-dioxopyrimidin-1-yl)oxolan-2-yl]methyl hydrogen phosphate;
d(pT)2;
Oligothymidylic acid d(pT)2 sodium salt
- EINECS号:
-
- 分子式:
- C20H28N4O15P2.xNa
- 分子量:
- 0
159002-33-2物化属性
- 密 度:
-
- 闪 点:
-
- 熔 点:
-
- 沸 点:
-
- 安全术语:
- WGK Germany 3
- 分子结构式:
-

- SDS:
- 查看
159002-33-2相关产品推荐