产品供求
1941-50-0
没有找到符合您的产品名,为您推荐“1941-50-0”的上下游产品
1941-50-0基本信息
- CAS:
- 1941-50-0
- 英文名称:
- D-Arabinose, diethyldithioacetal
- 英文别名:
- D-Arabinose diethyl mercaptal;
RIBOSE DITHIOETHYL ACETAL;
(2R,3R,4S)-5,5-bis(ethylthio)pentane-1,2,3,4-tetraol;
D-Arabinose-diaethyldithioacetal;
1,1-Bis(ethylthio)-1-deoxy-D-arabinitol;
D-Arabinose-diethylmercaptal;
D-arabinose diethyl dithioacetal;
5,5-bis-ethylsulfanyl-pentane-1,2,3,4-tetraol
- EINECS号:
-
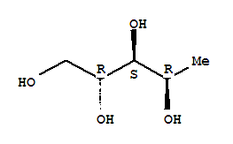
- 分子式:
- C9H20O4S2
- 分子量:
- 256.38
1941-50-0物化属性
- 密 度:
- 1.304g/cm3
- 闪 点:
- 240.5°C
- 熔 点:
- 125-126 °C
- 沸 点:
- 496.1°Cat760mmHg
- InChI:
- The Key: IZQLWYVNJTUXNP-PRJMDXOYSA-N
- 分子结构式:
-

- SDS:
- 查看
1941-50-0相关产品推荐