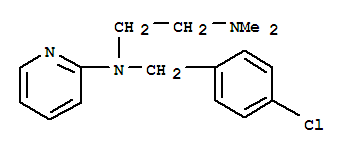
23826-72-4(2-(2-吡啶基氨基)乙基二甲基胺)
推荐供应商
- CAS号:23826-72-4
- 品名:2-(2-吡啶基氨基)乙基二甲基胺
- 别名:
- 分子式:C9H15N3
- 参考价:洽谈
- 联系人:谭经理详细信息
- 电话:13053322091
- 手机:13053322091
- QQ:1420085617
23826-72-4基本信息
- CAS:
- 23826-72-4
- 中文名称:
- 2-(2-吡啶基氨基)乙基二甲基胺
- 英文名称:
- 1,2-Ethanediamine,N1,N1-dimethyl-N2-2-pyridinyl-
- 英文别名:
- N',N'-dimethyl-N-pyridin-2-ylethane-1,2-diamine;
N,N-dimethyl-N'-[2]pyridyl-ethylenediamine;
EINECS 245-898-7;
Pyridine,2-(2-(dimethylamino)ethylamino);
N,N-Dimethyl-N'-[2]pyridyl-aethylendiamin;
N,N-dimethyl-N'-(pyridine-2-yl)ethane-1,2-diamine;
R.518;
N-(2-(dimethylamino)ethyl)pyridine-2-amine;
2-(2-dimethylaminoethylamino)pyridine;
2--pyridin;
2-(2-Pyridylamino)ethyldimethylamine
- EINECS号:
-
- 分子式:
- C9H15N3
- 分子量:
- 165.2355
23826-72-4物化属性
- 密 度:
- 1.039g/cm3
- 闪 点:
- 122.9°C
- 熔 点:
-
- 沸 点:
- 279.7°Cat760mmHg
- InChI:
- The Key: PBPMFHCGVZTYHV-UHFFFAOYSA-N
- 分子结构式:
-

- SDS:
- 查看
23826-72-4相关产品推荐