产品供求
26548-40-3
推荐供应商
- CAS号:26548-40-3
- 品名:
- 别名:
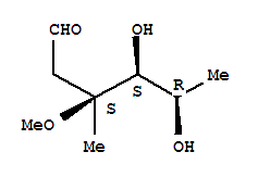
- 分子式:C8H16O4
- 参考价:洽谈
- 联系人:谭经理详细信息
- 电话:13053322091
- 手机:13053322091
- QQ:1420085617
26548-40-3基本信息
- CAS:
- 26548-40-3
- 英文名称:
- xylo-Hexose,2,6-dideoxy-3-C-methyl-3-O-methyl-
- 英文别名:
- xylo-Hexose,2,6-dideoxy-3-C-methyl-3-O-methyl-
- EINECS号:
-
- 分子式:
- C8H16O4
- 分子量:
- 176.213
26548-40-3物化属性
- 密 度:
- 1.100±0.06 g/cm3(Predicted)
- 闪 点:
-
- 熔 点:
- 96-98 °C
- 沸 点:
- 323.5±42.0 °C(Predicted)
- InChI:
- The Key: YHVUVJYEERGYNU-SBEGJHHSSA-N
- 分子结构式:
-

- SDS:
- 查看
26548-40-3相关产品推荐