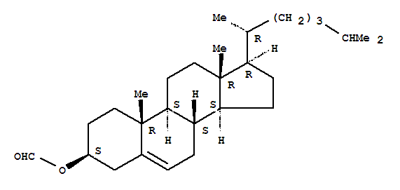
57711-50-9(3-O-叔-丁基二甲基硅烷基胆固醇)
推荐供应商
- CAS号:57711-50-9
- 品名:3-O-叔-丁基二甲基硅烷基胆固醇
- 别名:
- 分子式:C33H60OSi
- 参考价:洽谈
- 联系人:张经理详细信息
- 电话:15666366704
- 手机:15666366704
- QQ:2952473465
57711-50-9基本信息
- CAS:
- 57711-50-9
- 中文名称:
- 3-O-叔-丁基二甲基硅烷基胆固醇
- 英文名称:
- 3β-[(t-butyldimethylsilyl)oxy]-cholest-5-ene
- 英文别名:
- 3β-[(t-butyldimethylsilyl)oxy]-cholest-5-ene;
3-[(1,1-dimethylethyl)dimethylsilyl]oxycholest-5-ene;
3β-t-Butyldimethylsiloxy-5-cholesten;
3β-(tert-butyldimethylsilanyloxy)-cholesterol;
3-O-(tert-butyldimethylsilyl)cholesterol;
cholesteryl tert-butyldimethylsilyl ether;
3-O-tert-Butyldimethylsilyl Cholesterol;
3β-tert-butyldimethylsilyloxy-5-cholestene
- EINECS号:
-
- 分子式:
- C33H60OSi
- 分子量:
- 500.91400
57711-50-9物化属性
- 密 度:
-
- 闪 点:
-
- 熔 点:
-
- 沸 点:
-
- InChI:
- The Key: CXIGRSVIJKSIQL-FLFWOSPYSA-N
- 分子结构式:
-

- SDS:
- 查看
57711-50-9相关产品推荐