产品供求
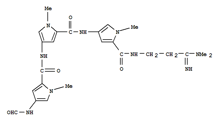
6576-51-8(偏端霉素A盐酸盐)
推荐供应商
- CAS号:6576-51-8
- 品名:偏端霉素A盐酸盐
- 别名:偏端霉素A盐酸盐;盐酸远霉素A;远霉素A盐酸盐
- 分子式:C22H27N9O4.ClH
- 参考价:64.0元 - 100.0元
- 联系人:邵经理详细信息
- 电话:16621771607
- 手机:16621771607
- QQ:2457984128
6576-51-8基本信息
- CAS:
- 6576-51-8
- 中文名称:
- 偏端霉素A盐酸盐
- 中文别名:
- 偏端霉素A盐酸盐;
盐酸远霉素A
- 英文名称:
- 1H-Pyrrole-2-carboxamide,N-[5-[[(3-amino-3-iminopropyl)amino]carbonyl]-1-methyl-1H-pyrrol-3-yl]-4-[[[4-(formylamino)-1-methyl-1H-pyrrol-2-yl]carbonyl]amino]-1-methyl-,hydrochloride (1:1)
- 英文别名:
- DISTAMYCIN A HYDROCHLORIDE;
distamycin A hydrochloride from*streptomyces dist;
Distamycin A hydrochloride from Streptomyces distallicus;
estalimicinaclorhidrato;
distamycin A monohydrochloride;
DISTAMYCIN A HCL;
herperal;
stallimycinhydrochloride;
fi6426;
stallimycin monohydrochloride
- EINECS号:
- 229-505-6
- 分子式:
- C22H27N9O4.ClH
- 分子量:
- 518.04
6576-51-8物化属性
- 密 度:
-
- 闪 点:
- 386.4 °C
- 熔 点:
- 184-187° (Arcamone, 1967). Also reported as 189-193° from ethanol-ethyl acetate (Bialer)
- 沸 点:
- 715.4 °C at 760 mmHg
- EINECS:
- 229-505-6
- InChI:
- The Key: SFYSJFJQEGCACQ-UHFFFAOYSA-N
- 风险术语:
- R43
- 安全术语:
- S36/S37
- 分子结构式:
-

- SDS:
- 查看
6576-51-8相关产品推荐