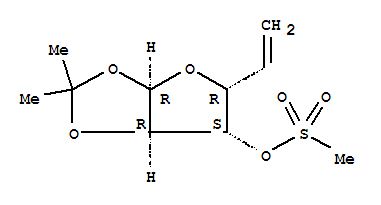
7284-07-3(1,2-O-异亚丙基-5,6-二脱氧-呋喃葡萄糖)
没有找到符合您的产品名,为您推荐“7284-07-3”的上下游产品
7284-07-3基本信息
- CAS:
- 7284-07-3
- 中文名称:
- 1,2-O-异亚丙基-5,6-二脱氧-呋喃葡萄糖
- 英文名称:
- a-D-xylo-Hex-5-enofuranose,5,6-dideoxy-1,2-O-(1-methylethylidene)-
- 英文别名:
- 5-ethenyl-2,2-dimethyl-3a,5,6,6a-tetrahydrofuro[2,3-d][1,3]dioxol-6-ol;
Diphef;
5,6-Dideoxy-1,2-O-isopropylidenehex-5-enofuranose
- EINECS号:
-
- 分子式:
- C9H14O4
- 分子量:
- 188.22
7284-07-3物化属性
- 密 度:
- 1.222g/cm3
- 闪 点:
- 105.5°C
- 熔 点:
-
- 沸 点:
- 250.8°C at 760 mmHg
- InChI:
- The Key: BKZJCXDFISJJKI-ULAWRXDQSA-N
- 分子结构式:
-

- SDS:
- 查看
7284-07-3相关产品推荐