首页
产品供求
市场行情
现货直销
公司信息
您好!欢迎您来到LookChem
请登录
免费注册
求购信息
我的LookChem
我的询盘管理
发布求购信息
发布产品信息
管理采购信息
账户管理
帮助中心
产品供求
产品
产品
公司
求购
资讯
法规
搜 索
English
产品分类
医药中间体
医药中间体
杂环化合物
原料药中间体
OLED材料中间体
二苯胺类中间体
无机化工
无机化工
镀膜材料
单质
氢、氮、氧等工业气体
无机碱
无机酸
无机盐
氧化物和过氧化物
硅胶
非金属矿
石墨烯
羰基金属
有机原料
有机原料
腈类化合物
肼或胲的有机衍生物
氨基化合物
醇、酚、酚醇类化合物及衍生物
含氮基化合物
醌类化合物
醚类化合物及其衍生物
醛类化合物
羧酸类化合物及衍生物
烃类化合物及其衍生物
酮类化合物
烷基脲类及其衍生物和盐
无机酸酯
杂环化合物
重氮、偶氮或氧化偶氮化合物
有机硅化合物
有机金属类化合物
有机硫化合物
有机膦化合物
有机金属盐
有机氟化合物
原料药
原料药
呼吸系统用药
激素及调节内分泌功能类药
解热镇痛药
抗变态反应药
抗寄生虫病药
抗生素类药物
抗肿瘤药
Anesthetic Agents
泌尿系统用药
其它化学药
人工合成抗感染类药
神经系统用药
水、电解质及酸碱平衡调节药
维生素类与矿物质类药
消化系统用药
血液系统用药
循环系统用药
诊断用药
专科用药
影响组织代谢的药物
饲料药物添加剂
抗应激药
清热剂
常用菌苗和疫苗
抗病血清
畜禽常用诊断生物制品
影响免疫功能药
兽药原料
抑制剂
生物化工
生物化工
常见氨基酸及蛋白质类药
核酸类药
酶及辅酶类药
抑制剂
生物反应调节剂
脂肪类药
氨基酸及其衍生物
糖类化合物
生化试剂
核苷类药物
缩合剂
多肽
天然产物
植物提取物
中草药成分
微生物学试剂
植物多糖
蛋白质研究
抗体
染料及颜料
染料及颜料
染料
颜料
化学农药原药
化学农药原药
除草剂
杀虫剂
杀菌剂
植物生长调节剂
杀虫剂中间体
表面活性剂
表面活性剂
工业表面活性剂
非离子表面活性剂
两性离子表面活性剂
阳离子表面活性剂
阴离子表面活性剂
抗静电剂
香精与香料
香精与香料
合成香料
天然香料
化学试剂
化学试剂
氘代试剂
有机试剂
硅烷试剂
手性化学试剂
格氏试剂
氟试剂
食品添加剂
食品添加剂
稳定和凝固剂
消泡剂
营养强化剂
增稠剂
增味剂
着色剂
分散剂
食品香料
水分保持剂
酸度调节剂
甜味剂
胶姆糖基础剂
抗结剂
抗氧化剂
酶制剂
面粉处理剂
膨松剂
漂白剂
其它食品添加剂
乳化剂
被膜剂
防腐剂
护色剂
催化剂及助剂
催化剂及助剂
抗氧剂
紫外线吸收剂
防老剂
聚乙二醇衍生物
荧光增白剂
塑料橡胶助剂
分子筛
阻燃剂
聚合物
贵金属催化剂
偶联剂
石油化工
脱硫剂
天然产物
天然产物
酚类
甾体化合物
苯丙素
蒽醌
查尔酮类化合物
木脂素
氧杂蒽酮
黄酮类化合物
萜类
环烯醚萜衍生物
香豆素
生物碱
醌类
倍半萜
分析化学
分析化学
标准品
分析试剂
色谱分析
食品安全
液相色谱
供求首页
产品求购
公司信息
化工字典
咨询热线:
0571-8756-2588
您当前位置:
首页
产品数据
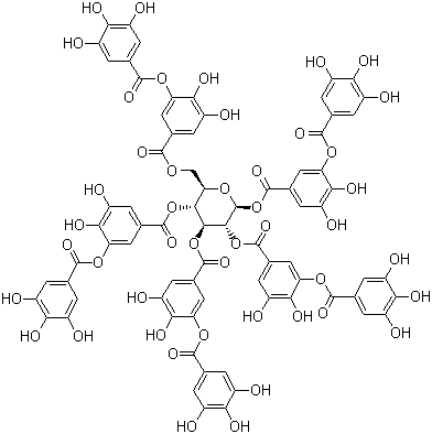
1401-55-4
1401-55-4(单宁酸)
区域选择
北京市
天津市
河北省
山西省
内蒙古自治区
辽宁省
吉林省
黑龙江省
上海市
江苏省
浙江省
安徽省
福建省
江西省
山东省
河南省
湖北省
湖南省
广东省
广西壮族自治区
海南省
重庆市
四川省
贵州省
云南省
西藏自治区
陕西省
甘肃省
青海省
宁夏回族自治区
新疆维吾尔自治区
台湾省
香港特别行政区
澳门
推荐供应商
单宁酸
CAS号:
1401-55-4
品名:
单宁酸
别名:
鞣酸;丹宁酸;单宁;没食子鞣酸;鞣质;落叶松栲胶;二倍酸
分子式:
C76H52O46
参考价:
180.0元
推广
河北科隆多生物科技有限公司
区域:河北省
年限:2019年
证
联系人:
赵经理
详细信息
电话:13503100742
手机:13503100742
QQ:2792365312
现
现货供应
免
免费样品
我有话要说...
发布询盘
单宁酸
CAS号:
1401-55-4
品名:
单宁酸
别名:
鞣酸;丹宁酸;单宁;没食子鞣酸;鞣质;落叶松栲胶;二倍酸
分子式:
C76H52O46
参考价:
洽谈
推广
湖北萃园生物科技有限公司
区域:湖北省
年限:2023年
生
联系人:
马蕊
详细信息
电话:18162791556
手机:18162791556
QQ:3152548389
现
现货供应
厂
厂家直销
免
免费样品
我有话要说...
发布询盘
丹宁酸
CAS号:
1401-55-4
品名:
单宁酸
别名:
鞣酸;丹宁酸;单宁;没食子鞣酸;鞣质;落叶松栲胶;二倍酸
分子式:
C76H52O46
参考价:
100.0元 - 1,000.0元
推广
南京御织堂科技有限公司
区域:江苏省
年限:2024年
证
研
生
联系人:
李珊
详细信息
电话:18251890384
手机:18251890384
QQ:861188650
现
现货供应
厂
厂家直销
免
免费样品
我有话要说...
发布询盘
单宁酸
CAS号:
1401-55-4
品名:
单宁酸
别名:
鞣酸;丹宁酸;单宁;没食子鞣酸;鞣质;落叶松栲胶;二倍酸
分子式:
C76H52O46
参考价:
25.0元
推广
天门恒昌化工有限公司
区域:湖北省
年限:2017年
联系人:
黄湘迪
详细信息
电话:027-59322316
手机:15827039378
QQ:1178380066
现
现货供应
免
免费样品
我有话要说...
发布询盘
单宁酸
CAS号:
1401-55-4
品名:
单宁酸
别名:
鞣酸;丹宁酸;单宁;没食子鞣酸;鞣质;落叶松栲胶;二倍酸
分子式:
C76H52O46
参考价:
1.0元 - 25.0元
推广
湖北诺纳科技有限公司
区域:湖北省
年限:2019年
证
联系人:
张经理
详细信息
电话:027-59209883
手机:17386169806
QQ:1141855188
现
现货供应
免
免费样品
我有话要说...
发布询盘
单宁酸
CAS号:
1401-55-4
品名:
单宁酸
别名:
鞣酸;丹宁酸;单宁;没食子鞣酸;鞣质;落叶松栲胶;二倍酸
分子式:
C76H52O46
参考价:
1.0元 - 25.0元
推广
湖北云镁科技有限公司
区域:湖北省
年限:2019年
证
联系人:
方经理
详细信息
电话:027-59206672
手机:18327059871
QQ:235010015
现
现货供应
免
免费样品
我有话要说...
发布询盘
丹宁酸
CAS号:
1401-55-4
品名:
单宁酸
别名:
鞣酸;丹宁酸;单宁;没食子鞣酸;鞣质;落叶松栲胶;二倍酸
分子式:
C76H52O46
参考价:
25.0元
推广
湖北信康医药化工有限公司
区域:湖北省
年限:2016年
证
联系人:
张经理
详细信息
电话:027-59308705
手机:18827031272
QQ:1438980011
现
现货供应
免
免费样品
我有话要说...
发布询盘
单宁酸
CAS号:
1401-55-4
品名:
单宁酸
别名:
鞣酸;丹宁酸;单宁;没食子鞣酸;鞣质;落叶松栲胶;二倍酸
分子式:
C76H52O46
参考价:
洽谈
推广
湖北帝柏化工有限公司
区域:湖北省
年限:2018年
证
联系人:
雷经理
详细信息
电话:15872383390
手机:15872383390
QQ:3497278907
现
现货供应
我有话要说...
发布询盘
单宁酸
CAS号:
1401-55-4
品名:
单宁酸
别名:
鞣酸;丹宁酸;单宁;没食子鞣酸;鞣质;落叶松栲胶;二倍酸
分子式:
C76H52O46
参考价:
洽谈
推广
山东默派生物科技有限公司
区域:山东省
年限:2023年
证
研
联系人:
谭经理
详细信息
电话:13053322091
手机:13053322091
QQ:1420085617
现
现货供应
免
免费样品
我有话要说...
发布询盘
单宁酸
CAS号:
1401-55-4
品名:
单宁酸
别名:
鞣酸;丹宁酸;单宁;没食子鞣酸;鞣质;落叶松栲胶;二倍酸
分子式:
C76H52O46
参考价:
65.0元 - 60,000.0元
推广
河北仟盛生物科技有限公司
区域:河北省
年限:2019年
证
联系人:
周宇
详细信息
电话:15830669978
手机:15830669978
QQ:3155386080
现
现货供应
免
免费样品
我有话要说...
发布询盘
1
2
3
4
5
6
7
8
9
10
下一页
为您推荐
“1401-55-4”
的上下游产品
1401-55-4基本信息
CAS:
1401-55-4
中文名称:
单宁酸
中文别名:
单宁酸;
二倍酸;
鞣酸;
没食子鞣酸;
炭尼酸;
丹宁酸
英文名称:
Tannic acid
英文别名:
tannic acid;
Gallotannin Tannin;
Glycerite;
Tannic acid;
Gallotannin,Tannin
EINECS号:
215-753-2
分子式:
C
76
H
52
O
46
分子量:
1701.22
1401-55-4物化属性
密 度:
2.12 g/cm3
闪 点:
198°C
熔 点:
218°C(lit.)
沸 点:
862.78°C (rough estimate)
EINECS:
215-753-2
BRN:
8186396
InChI:
InChI=1/C76H52O46/c77-32-1-22(2-33(78)53(32)92)67(103)113-47-16-27(11-42(87)58(47)97)66(102)112-21-52-63(119-72(108)28-12-43(88)59(98)48(17-28)114-68(104)23-3-34(79)54(93)35(80)4-23)64(120-73(109)29-13-44(89)60(99)49(18-29)115-69(105)24-5-36(81)55(94)37(8
危险品标志:
Xi
Xn
风险术语:
R40
;
R62
;
R63
;
R68
;
R36/37/38
安全术语:
S24;S25/S36;S26;S36/37/39;S22
分子结构式:
SDS:
查看
1401-55-4相关产品推荐
没有现货却显示现货供应
不是工厂
此供应商提供不了该产品
与产品描述不符
提交
QQ: 2241752642
电话: 19906633110