洛克化工
-
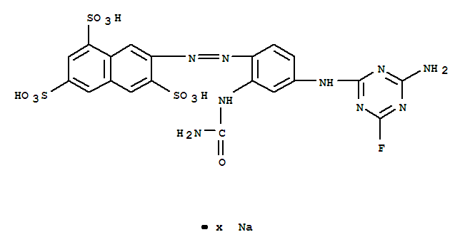
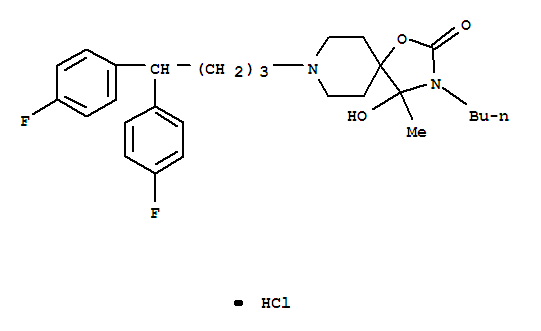
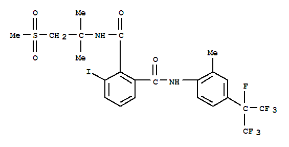
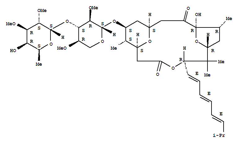
产品图片
中文名称
英文名称
CAS NO.
分子式
-
-
-
-
-
-
-
-
-
-
-
-
-
-
-
-
-
-
-
-
-
-
-
-
-
-
-
-
-
-
-
-
-
-
-
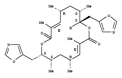
1,9-Dioxacyclohexadeca-3,11-diene-2,10-dione,3,5,7,11,13,15-hexamethyl-8,16-bis(5-oxazolylmethyl)-,(3E,5R,7S,8S,11E,13R,15S,16S)-
-
-
-
-
-
-
-
-
-
-
-
-
-
-
-
-
-
-
-
-
-
-
-
-
-
-
-
-
-
-
-
-
-
-
-
-
-
-
-
-
-
-
-
-
-
-
-
1,4-Methanonaphthalene-5,8-diol,1,2,3,4,9,9-hexachloro-1,4-dihydro-, 5,8-diacetate
-
-
-
-
-
-
-
10,17,18-Trioxatricyclo[11.3.1.14,7]octadecane-3,11-dione,15-[[3-O-(6-deoxy-2,3-di-O-methyl-a-L-galactopyranosyl)-2,4-di-O-methyl-b-D-xylopyranosyl]oxy]-4-hydroxy-5,8,8,14-tetramethyl-9-[(1E,3E,5E)-7-methyl-1,3,5-octatrien-1-yl]-,(1S,4R,5R,7R,9R,13S,14S,15S)-
-
-
-
-
-
-
-
-
-
-
-