CO(NH2)2·H3PO4
C3H6N2O5•H2O
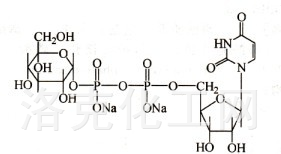
C15H24N2O17P2.xNa
C9H15N2O15P3.2H2O.3Na
C4H6O6U.2H2O
C15H24N2O17P2
C15H22N2O18P2.3H3N
H2O.1/6N2O8U